Discover our flagship green data centre, launching at a UK industrial heritage site. Learn more here.
Ready to Launch?
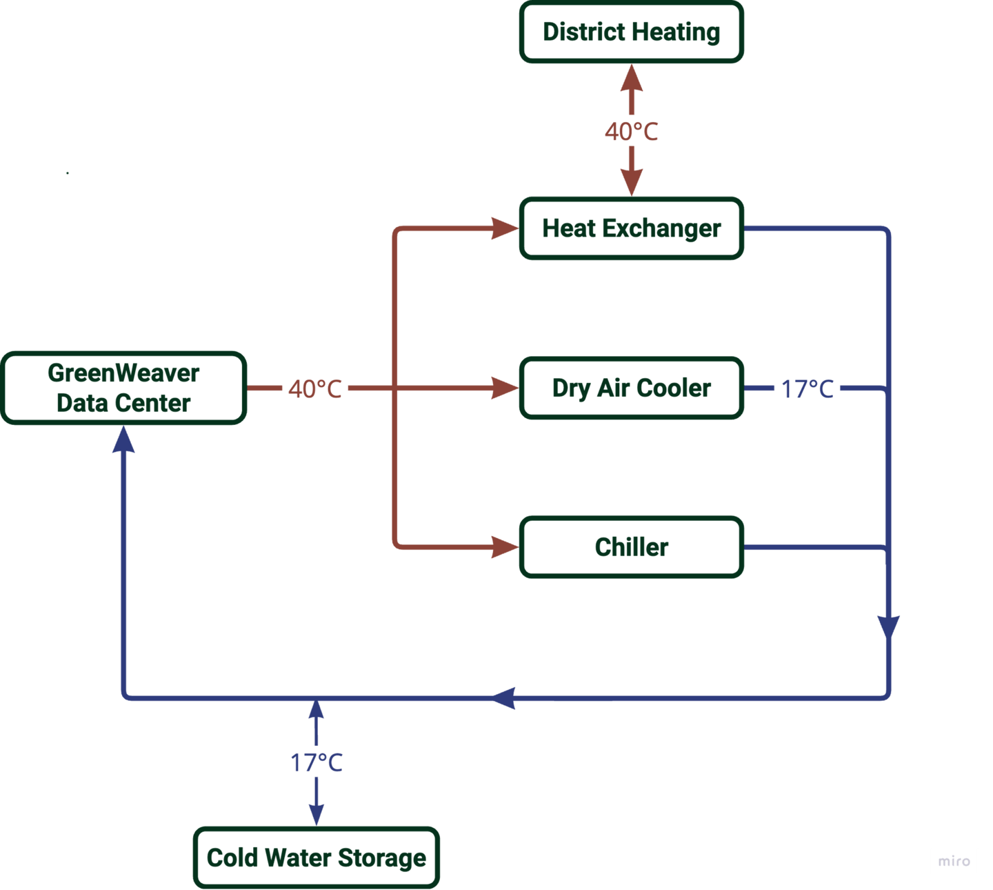
Modular data centre requirements for district heating integration
How it works?
Easy Onboarding for District Heating
Transforming Waste into Heat






